Resultant Force Equation

Resultant Force Equation. Force (f) is measured in newtons (n) mass (m) is measured in kilograms (kg) acceleration (a) is measured in metres per second. For a case like this, we use the formula that will square root of the sum of squares of each vector.

Calculating Resultant Vectors A Level Physics (OCR A
Calculating Resultant Vectors A Level Physics (OCR A from www.tes.com

But they are in the same direction, then we cannot add directly. Add the vector equations together to get the vector equation of the resultant force. A box on a table

The Resultant Vector Formula Is.


But they are in the same direction, then we cannot add directly. If \(f_2\) is perpendicular to \(f_1\), then the resultant force formula is given as,. When two or more forces act on a body, the resulting force, also known as the net force, is equal to the total of all the forces that produce the effect.

The Resultant Force Formula Is Defined As The Ratio Of The Tangential Force To The Cosine Of The Pressure Angle Is Calculated Using Resultant Force = Tangential Force / Cos (Pressure Angle).


\ [f = m~a\] this is when: Resultant force = mass × acceleration. A box on a table

When Two Or More Forces Act On An Object, The Resultant Force Can Be Found By Adding Up The Individual Forces.


How to find the equation of the line of action of the resultant force using moment of a force. Sarah pulls on one end of a rope with a. Calculate resultant force •column g is set aside for calculating resultant force, as noted by fxyz.

The Resultant Force Formula Is Given By, \(F_R = F_1 + F_2 + F_3\) Where, \(F_1, F_2, F_3\) Are The Forces Acting In The Same Direction On A Body.


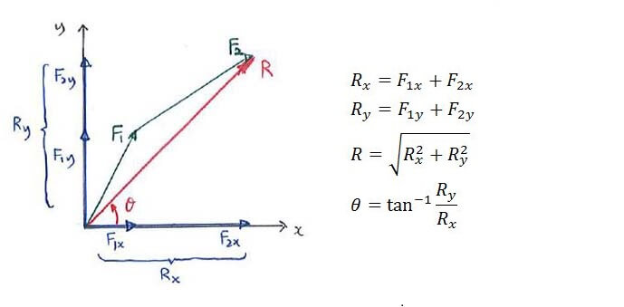
If one force is acting perpendicular to another, the resultant force is determined by using the pythagorean theorem. The resultant force formula is given by, fr = f1 + f2 + f3. The following diagram is a vector representation of.

→ R = √→ X2 + → Y2 R → = X 2 → + Y 2 →.


2.20 displays the cutting force wave at v = 1500 m/min, from which it can be described that f z was the highest cutting force in the three components. Force (f) is measured in newtons (n) mass (m) is measured in kilograms (kg) acceleration (a) is measured in metres per second. 2.21 shows the axial cutting force (f z) at v c = 500 m/min.